РЕПЕТИТОР ЕГЭ ПОДГОТОВКА: Расчет выигрыша в силе. Откуда это берется?

сентября 08, 2020

Расчет выигрыша в силе. Откуда это берется?

Давайте рассмотрим расчетную задачу с рычагом. Бесконечно легкий рычаг находится в равновесии под действием двух сил, как изображено на рисунке.

Чему равен выигрыш в силе, предлагаемый устройством? 

1) 1,5    2) 2,5    3) 1,7    4) 5,0

РЕШЕНИЕ ИСХОДЯ ИЗ ФОРМУЛ МЕХАНИКИ

Для решения данной задачи нужно повторить некоторые разделы по проактивно-интегральному курсу, касающиеся школьного курса механики, в частности расчета систем из рычагов..

Рычаг находится в равновесии под действием двух сил, если момент силы M1, вращающей его по ходу часовой стрелки, равен моменту силы M2, вращающей его против хода часовой стрелки: 

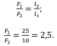
Таким образом, выигрыш в силе после несложных алгебраических преобразований выражения равен:

ЗАПИШЕМ ОТВЕТ 

Как показали проведенные нами вычисления, число в варианте 2 совпадает с полученным нами результатом. Таким образом, мы получили ожидаемое значение и можем быть уверены в его физической правильности.


Ярлыки: , , ,